TABLE DES MATIERES
TECHNOLOGIES D’IMPRESSION
Exercices
INTERFACES PARALLELES ET SERIES
Exercices
POLICES DE CARACTERES
Exercices
CONFIGURATION D’UNE IMPRIMANTE MATRICIELLE A AIGUILLES SOUS DOS
Exercices
CONFIGURATION D’UNE IMPRIMANTE PAR DRIVER
Exercices
EXERCICES DE SYNTHESE (facultatifs)
TRAVAIL A RENDRE
ANNEXES
Unités de l’impression
Supports d’impression
Jeux de caractères
Séquences d’Escape
Langage PCL
Polices
TECHNOLOGIES D’IMPRESSION
Il existe plusieurs technologies d’imprimantes, cependant le marché actuel est dominé par les jets d’encre et les lasers. Les autres types d’imprimantes sont soit marginales (thermiques,…), soit tombées en désuétude (matricielles à aiguilles,…).
Les imprimantes matricielles à aiguilles disposent d’une tête d’impression composée d’un certains nombre d’aiguilles commandées par des électro-aimants. Ces têtes frappent un ruban encreur et impriment les caractères sous forme de points. Ces imprimantes sont souvent remplacées par des lasers, mais subsistent encore pour l’impression de basse qualité sur listing, ainsi que pour les liasses carbonées.

Les imprimantes laser utilisent une technologie assez proche de celle des photocopieurs. En général, ce matériel comprend une cartouche d’encre en poudre et un tambour. Ces imprimantes sont rapides et bien adaptées aux traitements de volumes d’impression importants tant individuel qu’en réseau.

Les imprimantes jet d’encre projettent de minuscules gouttes d’encre sur le papier. On parle de technologie à jet d’encre ou à bulle d’encre. Ces imprimantes sont souvent réservées à un usage individuel, mais permettent l’impression couleur à bas prix.

Les imprimantes thermiques utilisent une cire qu’elles font fondre sur un film de cellophane avant de l’appliquer sur le papier. Ce type de matériel concerne essentiellement l’impression couleur de haut de gamme (photo).
EXERCICES : TECHNOLOGIES D’IMPRESSION
Consigne de réalisation des exercices : cocher la case de chaque exercice quand celui-ci est réalisé.
RECHERCHE DOCUMENTAIRE (presse informatique, Internet,…)
- Rechercher des comparatifs récents des principales imprimantes du marché. Quels sont les quatre principaux constructeurs d’imprimante ?
MODES D’IMPRESSION
- Remplir le tableau suivant en cochant les technologies correspondant aux caractéristiques listées. Pour effectuer cet exercice, on pourra s’aider des définitions qui suivent le tableau.
|
Technologie |
Matricielle |
Laser |
Jet d’encre |
|
Mode d’impression de l’ensemble des caractères : →caractère/caractère →ligne/ligne →page/page |
|||
|
Mode d’impression du caractère : →caractère préformé →caractère matriciel |
|||
|
Mode de frappe : →avec impact →sans impact |
=>Mode d’impression de l’ensemble des caractères :
• Impression caractère/caractère : Les caractères sont imprimés les uns à la suite des autres, pour former une ligne. Chaque caractère est positionné par déplacement de la tête d’impression ou du papier.
• Impression ligne/ligne : L’impression de tous les caractères d’une ligne se fait simultanément. Il y a donc autant de têtes d’impression que de caractères dans une ligne.
• Impression page/page : Impression de la page en une seule fois comme pour un photocopieur.
=>Mode d’impression du caractère :
• Caractère préformé : Le jeu de caractères est gravé une fois pour toute sur un support mobile. Ce type d’impression est bruyant, offre un jeu de caractères limité et pas de graphique.
• Caractère matriciel : Les caractères sont formés au moment de l’impression par une matrice de points. Ce type d’impression est rapide et offre une grande variété des polices de caractères et des possibilités graphiques. La qualité dépend du nombre de points imprimés au centimètre.
=>Modes de frappe :
• Frappe avec impact : La tête d’impression frappe directement un ruban encré sur une feuille de papier (comme pour une machine à écrire).
• Frappe sans impact : Le procédé d’impression n’est pas mécanique mais basé sur un phénomène physique : électrostatique, électrolytique, thermique ou lumineux (xérographie, laser). Les imprimantes sans impact sont rapides et n’ont pas les problèmes d’usure de pièces des imprimantes à impact.
INTERFACES PARALLELES ET SERIES
INTERFACES
Les dispositifs d’entrée-sortie chargés des échanges entre unité centrale et périphériques sont appelés des ports. On distingue les ports parallèles et les ports séries. Les ports sont contrôlés par des programmes en mémoire morte qui définissent les protocoles d’échange.
Une interface constitue une frontière commune entre deux équipements reliés entre eux. Elle fixe les règles et conventions à respecter pour que les deux systèmes puissent échanger des informations : caractéristiques physiques des connexions (ports) et fonctions des signaux échangés (protocoles).
Une imprimante peut disposer d’un ou plusieurs types d’interface, par exemple …
|
Interfaces des micro-ordinateurs compatibles « IBM-PC » : Interface série universelle : USB |
TRANSMISSION PARALLELE
Principe de la transmission parallèle : envoi simultané des 8 bits d’un caractère sur des fils distincts (un bit par fil) pour arriver à destination ensemble.
La transmission parallèle est le mode le plus souvent utilisé pour les imprimantes des compatibles PC. De plus, si l’interface est bidirectionnelle, elle peut être utilisée pour connecter un périphérique externe (lecteur CD, sauvegarde, etc.).
Par rapport à la communication série, la transmission parallèle est plus rapide et plus simple à gérer par l’utilisateur (pas de paramétrage complémentaire de la transmission). Par contre, la longueur maximale de câble est très limitée (de 3 à 5 mètres) car des parasites peuvent perturber les signaux.
TRANSMISSION SERIE
Principe de la transmission série : envoi des bits d’un caractère les uns à la suite des autres sur un même fil. En sortie de l’unité centrale, la transmission parallèle du bus interne est transformée en transmission série pour le câble de liaison à l’imprimante.
Dans un PC, la conversion parallèle/série (et série/parallèle) est effectuée par le circuit électronique UART (Universal Asynchronous Receiver/Transmitter).
TRANSMISSION SERIE ASYNCHRONE
=>Avec la communication série asynchrone, la transmission s’effectue caractère par caractère (alors qu’elle s’effectue par bloc de plusieurs octets dans la transmission série synchrone).
Ce type de transmission est utilisé pour les souris, modems, imprimantes et transferts de fichiers poste à poste.
La communication série ne demande qu’un matériel simple avec peu de fils. Elle peut donc s’effectuer sur des distances plus longues que pour les liaisons parallèles (moins sensible aux parasites). Par contre, le débit est plus lent (de 9 600 bps à 115 Kbps pour la liaison RS232C de PC). De plus, la transmission série nécessite un paramétrage (voir paragraphe suivant).
=>La synchronisation s’effectue également caractère par caractère : les bits d’un caractère sont entourés d’éléments de repérage interprétés à la réception :
bit START (toujours à « 0 ») : la ligne au repos est au « 1 » logique, c’est le bit START qui déclenche la synchronisation des bits suivants
bit PARITE : à « 1 » si la somme des bits de données est paire, à « 0 » sinon (ceci pour une parité paire, convention contraire pour une parité impaire)
bit STOP : toujours à 1
=>Paramétrage d’une transmission série sous MS/DOS
MODE COMn°[ :] b [,p] [,d] [,s] jusqu’au DOS 3.3 (placer les virgules intermédiaires)
MODE COMn° BAUD=b [PARITY=p] [DATA=d] [STOP=s] à partir de DOS 4
|
b |
vitesse de la liaison (110, 150, 300, 600, 1200, 2400, 4800, 9600, 19200), on n’écrit que les 2 premiers chiffres de gauche (19 pour 19200) |
|
p |
E (Even : paire, par défaut) N (None : pas de contrôle) O (Odd : impaire) M (Mark : bit de parité toujours à 1) S (Space : bit de parité toujours à 0) |
|
d |
nombre de bits de données : 5, 6, 7 ou 8 (7 par défaut, 8 pour exploiter tout le code ASCII) |
|
s |
nbre de bits de stop : 1 ou 1,5 ou 2 (par défaut : 2 pour du 110 bauds, 1 pour les autres vitesses |
Exemples : MODE COM2 :9600,N,8,1,P
MODE COM2 BAUD=9600 PARITY=N DATA=8 STOP=1 RETRY=P
=>Paramétrage d’une transmission série sous Windows 98 : Panneau de configuration – icône Système – onglet gestionnaire de périphériques – …
EXERCICES : INTERFACES PARALLELES ET SERIES
INTERFACES
- Quels sont les noms réservés par le système MS/DOS pour désigner les interfaces d’entrées/sorties séries et parallèles ?
⇒ Interfaces séries de MS/DOS :
⇒ interfaces parallèles de MS/DOS :
Sur votre Unité Centrale, identifier visuellement les différents connecteurs séries et parallèles.
- Paramétrer le port série COM 2 pour une transmission asynchrone : sans bit de parité, 8 bits de données, 1 bit de stop.
⇒Sous MS/DOS, avec la commande MODE.
⇒ Sous Windows, par l’intermédiaire du Panneau de configuration.
Revenir ensuite à la configuration initiale.
RECHERCHE DOCUMENTAIRE
- Quelles sont les caractéristiques des normes d’interfaces parallèles (exercice facultatif) ?
|
interface |
taux de transfert |
compatibilité Centronics (O/N) |
Bidirectionnelle (O/N) |
Description |
|
Bidirectionnel (IBM Bitronics) |
||||
|
EPP |
||||
|
ECP |
||||
|
IEEE 1284 |
- Quelles sont les caractéristiques des nouvelles normes d’interfaces séries (exercice facultatif) ?
|
interface |
concepteur |
Taux de transfert |
distance |
nombre périph. |
Description |
|
USB |
|||||
|
Firewire (IEEE P1394) |
POLICES DE CARACTERES
JEUX DE CARACTERES
Un jeu de caractères définit la correspondance entre une codification numérique (par exemple, de 0 à 255) et des caractères (par exemple : a, b, … , z, A, B, … , Z, 0, 1, … , 9, …).
Les micro-ordinateurs utilisent le code ASCII étendu dans lequel les 8 bits d’un octet ont leur signification. Cette table ASCII se compose de 2 parties :
• partie standard : de 0 à 127
• partie étendue : de 128 à 255
La correspondance entre les deux codifications (ordinateur et imprimante) ne pose pas de problème sur la première moitié de la table ASCII (de 0 à 127). Par contre, le code ASCII étendu (de 128 à 255) comporte plusieurs variantes :
POLICES DE CARACTERES
Une police de caractère est un ensemble de caractères dont le style graphique est homogène, elle définit la forme (le dessin) des caractères. Dans le monde occidental, il existe plus de 15 000 polices.
Il ne faut pas confondre jeu de caractères (identification du caractère par un code numérique) et police de caractères (forme du caractère).
CONCEPTS DE TYPOGRAPHIE
Il ne faut pas utiliser trop de polices différentes dans un même document (en général, 2 ou 3) pour des raisons de lisibilité et de rapidité d’impression.
=>Espacement :
|
espacement |
signification |
exemple de police |
exemple de résultat |
utilisation |
|
fixe |
chaque caractère occupe la même largeur |
Courier |
minimimi |
style « listing » pour obtenir des colonnes de chiffres alignées |
|
proportionnel |
la largeur est ajustée à la forme des caractères |
Times-Roman |
minimimi |
=>L’empattement désigne la caractéristique des caractères possédant des terminaisons de traits (en haut et en bas).
|
Empattement |
exemple de police |
exemple de résultat |
utilisation |
|
avec empattements (Serif) |
Times-Roman |
A B C D E F G H |
corps du texte |
|
sans empattements (« bâton ») |
Arial |
A B C D E F G H |
titres |
|
cursive |
Script |
A B C D E |
|
|
symbolique |
Wingdings |
|
listes à puces |
|
gothique |
Lucida Blackletter |
A B C D E F G H |
lettrine |
=> Le poids désigne l’épaisseur du trait. Il peut être light, regular, book, demi, heavy, black ou extra bold (par ordre de grosseur croissante).
|
poids |
exemple de police |
exemple de résultat |
|
fort |
Arial |
A B C D E F G H |
|
faible |
Times New Roman |
A B C D E F G H |
=> Corps : taille exprimée en points (1 point = 1/72 pouce = 0,35 mm), la taille standard étant de 10 ou 12 points.
8 points et 14 points
=> Attributs (styles)
– graisse : non gras ou gras
– inclinaison : romain ou italique
=> Effets
– souligné : exemple
– exposant ou indice : 210 – normal – H2O
– barré (rayé ou biffé) : exemple
– petites majuscules : exemple (au lieu de EXEMPLE)
– autres : ombré, relief, double frappe, couleur
=> Orientation
DIFFERENTS TYPES DE POLICE
=>Police bitmap (dite point à point, ou à taille fixe) :
Les polices de caractères « classiques » affichées à l’écran sont en mode bitmap, c’est-à-dire définies par un ensemble de points : le tracé est calqué sur la représentation en mémoire des écrans en mode graphique.
Les corps les plus couramment utilisés sont 6, 8, 10, 12, 14, 16, 18, 20, 24, 30, 32, 36, 40 et 48. Quand l’utilisateur se cantonne à l’emploi des polices dans ces tailles, l’affichage se fait correctement, mais si l’on demande une taille intermédiaire (comme le 11), une approximation est effectuée en se servant comme matrice du dessin d’un corps proche pour calculer l’aspect que prendra le caractère. Il en résulte un effet d’escalier désagréable à l’œil parce que les défauts d’origine de la fonte se sont amplifiés.
Pour y remédier, la technique de lissage utilise le contour d’une police vectorielle pour recalculer le dessin et la taille d’un caractère à l’écran.
=>Police vectorisée par un langage de description de page (voir plus loin dans ce cours) :
Le langage se charge de codifier la forme de chaque caractère au moyen de paramètres définissant une succession de courbes mathématiques. Une forme peut donc évoluer facilement en « continu » par étiraison, inclinaison ou déformation.
|
Polices |
Auteur |
Remarques |
|
Type 1 et 2 (1985) |
Adobe |
affichage avec le logiciel ATM |
|
True Type (1991) |
Microsoft |
polices de Windows |
|
Intellifont |
Agfa |
utilisées par PCL 5/6 des imprimantes HP Laserjet |
|
Speedo |
Bitstream |
utilisées par Canon et de nombreux logiciels graphiques |
• Technologie de PostScript d’Adobe (voir plus loin dans ce cours)
⇒Polices Type 1 (type one) : technologie typographique du langage PostScript qui dessine le contour de chaque fonte de façon vectorielle selon un algorithme mathématique (appelé « courbes de Bézier »).
⇒Display PostScript d’Adobe : version écran de PostScript (utilisée par Next, IBM RS/6000 et DEC) qui consiste à reproduire à l’écran une qualité similaire à celle qui est obtenue à l’impression (utilise donc Type 1 sur écran) en éliminant les effets d’escalier.
⇒Logiciel ATM (Adobe Type Manager) : lisseur de polices qui est un sous-ensemble de Display Postscript pour Macintosh, OS/2 PM et Windows.
• Polices True Type d’Apple : technologie concurrente de Type 1 et ATM, et à laquelle s’est ralliée Microsoft. True Type est intégré à Windows (à partir de la version 3.1), OS/2 et Mac OS.
Les polices vectorielles True Type font appel à des courbes quadratiques (plus rapides à calculer que les courbes de Bézier de Type 1).
Windows 3.0 utilisait des polices bitmap, c’est-à-dire que pour chaque police, et chaque taille, l’installation gérait deux dessins : l’un adapté à l’écran (par exemple, en 72 ppp), l’autre réservé à l’impression (en 300 ppp). Windows 3.1 a adopté les polices vectorielles qui ne lui demandent que de stocker des formules mathématiques.
Exercices : POLICES DE CARACTERES
POLICES DE CARACTERES
- Quels sont les inconvénients des polices bitmap?
- Remplir le tableau suivant avec des exemples de police :
|
espacement |
empattement |
exemple de police |
|
fixe |
sans serif |
|
|
avec serif |
||
|
proportionnel |
sans serif |
|
|
avec serif |
- Sous Word, dans la liste de polices, comment différencier les polices True Type des polices d’imprimante. Quels sont les avantages et les inconvénients de ces deux types de polices ?
- Sous Windows, quel est l’outil de gestion des polices ? Quelles sont ses fonctionnalités ? Comment ajoute-t-on ou supprime-t-on une police ?
CONFIGURATION D’UNE IMPRIMANTE MATRICIELLE A AIGUILLES SOUS MS/DOS
DEFINITIONS PREALABLES
|
Impression en arrière plan (dite en « tâche de fond ») : l’utilisateur peut continuer à travailler sur le micro-ordinateur pendant que l’édition s’effectue sur l’imprimante (« multi-tâche » des impressions). Gestion de file d’attente d’impression (dite « spooler » ou « spouleur ») : ce qui doit être imprimé est stocké provisoirement dans un buffer (en mémoire centrale ou sur disque) et est géré comme une file d’attente. Hard copy : recopie de l’image écran sur l’imprimante. |
IMPRESSION SOUS MS/DOS
=> Impression de la frappe clavier en écho à l’imprimante
|
Ctrl + P activation de la commande frappe des lignes de texte impression en écho Ctrl + P désactivation de la commande |
Impression par copie de la console (CON) vers l’imprimante (PRN). L’imprimante fonctionne alors comme une machine à écrire.
|
COPY CON PRN début de la copie frappe des lignes de texte impression (et affichage à l’écran) Ctrl+Z fin de fichier et envoi à l’imprimante) |
=>Impression d’un fichier
|
COPY Fichier PRN la copie du fichier est effectuée sur l’imprimante TYPE Fichier > PRN l’affichage du contenu du fichier est redirigé vers l’imprimante (PRN) |
=> Impression de la liste des fichiers d’un répertoire. Attention ! sur une imprimante laser, l’édition d’une page ne s’effectue que quand l’imprimante a reçu le caractère de fin de page (ce qui n’a jamais lieu avec DIR>PRN).
| DIR > PRN |
=>Impression en arrière plan avec gestion de file d’attente
| PRINT [/Paramètres] [/Clés] [Unité :][Chemin]Fichier[.Ext] |
=>Recopie d’écran dite « hard copy »
|
touche « impr écran » (« PrtSc » ou Print Screen en anglais) seule (ancien clavier XT) ou touche « impr écran » combinée avec la touche « Shift » (clavier AT) |
CONFIGURATION « HARD » AU NIVEAU DE L’IMPRIMANTE
La configuration d’une imprimante consiste à modifier son comportement afin d’obtenir le type d’impression souhaité.
=> Panneau de commande de l’imprimante (situé sur le devant de l’imprimante) : sélection (« local » ou « en ligne »), Line Feed (saut de ligne), Form Feed (saut de page), nombre de caractères par pouce (10, 12 ou 17 CPI), espacement proportionnel (PS), qualité courrier (NLQ), longueur de page,…
=> Switches (commutateurs DIP) : Les switches sont des micro-interrupteurs situés en général derrière l’imprimante. Avant toute manipulation, il est indispensable de noter la position des switches de l’imprimante. Pour qu’un changement de configuration par switches soit pris en compte, il est nécessaire d’éteindre puis de rallumer l’imprimante. Il n’existe pas de standard pour la position des commutateurs, il faut donc se reporter au manuel du constructeur.
CONFIGURATION « SOFT » PAR ENVOI DE CODES DE COMMANDE A PARTIR DE L’ORDINATEUR (séquences d’Escape)
=> Les imprimantes configurables par cette méthode réagissent à l’envoi de certaines séquences de caractères ASCII (dont beaucoup commencent par le caractère ESC). Suivant les imprimantes, ces commandes peuvent aller des simples codes de contrôle (séquences d’escape envoyés sous MS/DOS) à un véritable langage de description de pages générés par l’intermédiaire d’un driver.
• Matricielle 9 aiguilles : ces codes de commande sont en général standardisés, mais on retrouve les différences existantes dans les jeux de caractères les modes IBM ou EPSON.
• Matricielle 24 aiguilles : le mode EPSON est le seul standard.
=> Différentes méthodes d’envoi de séquences d’escape:
1- Utilisation des séquences d’escape dans un programme.
Par exemple en BASIC, les séquence d’escape sont envoyées à l’imprimante sous forme de « CHR$(code décimal) ». Les instructions suivantes mettent l’imprimante en condensé :
lprint chr$(15)
width « lpt1 »,132
2- Envoi des séquences sous MS-DOS : COPY CON PRN
Les codes de commande sont obtenus soit par frappe directe de la touche (ESC) ou par ALT+code ASCII numérique (pavé numérique de droite). Il ne faut pas s’inquiéter de l’affichage à l’écran des caractères correspondants aux touches frappées (\ pour ESC, ^O pour Alt+15).
3- Envoi de séquences par l’intermédiaire d’un driver (voir le chapitre suivant).
Exercices : CONFIGURATION
D’UNE IMPRIMANTE MATRICIELLE A AIGUILLES SOUS MS/DOS
IMPRIMANTE MATRICIELLE A AIGUILLE UTILISEE SOUS MS/DOS
- Impression simultanée des dialogues écran : Ctrl+P.
Taper « Ctrl + P ».
Effectuer diverses manipulations sous MS-DOS, puis sous un progiciel.
Taper à nouveau Ctrl + P.
- Impression d’un texte tapé au clavier : COPY CON PRN.
Taper « COPY CON PRN ».
Taper 3 ou 4 lignes de texte.
Taper « Ctrl + Z ».
- Impression d’un fichier : COPY, TYPE et PRINT.
Edition d’un fichier ASCII (par exemple AUTOEXEC.BAT) : COPY fichier PRN, TYPE fichier>PRN, PRINT fichier.
CONFIGURATION « HARD » AU NIVEAU DE L’IMPRIMANTE MATRICIELLE A AIGUILLES
=> Utilisation des consommables (exercice facultatif) :
- Utiliser l’imprimante en mode feuille à feuille.
- Utiliser l’imprimante en mode listing (en modifiant le cadrage du papier).
- Voir comment se change le ruban de l’imprimante.
=>Configuration de l’imprimante par panneau de commande.
Identifier et essayer les différentes actions et configurations possibles à l’aide du panneau de commande de l’imprimante (en local).
- auto-test de l’imprimante
- sauts de ligne et de page
- gestion de l’espacement horizontal (10, 12 et 17 CPI)
- écriture proportionnelle
- qualité courrier
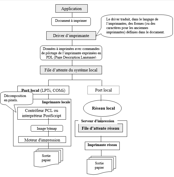
CONFIGURATION D’UNE IMPRIMANTE PAR DRIVER
DRIVER D’IMPRIMANTE
En général, les commandes de l’imprimante sont implémentées sous la forme d’un fichier intermédiaire, dit driver (pilote d’impression) permettant d’adapter l’imprimante au logiciel.
Le driver donne au logiciel les renseignements précieux sur l’imprimante utilisée tels que description des polices (tailles et styles, par exemple), tableaux de conversion des caractères ou séquences de contrôle servant à réaliser des attributs de mise en forme. Avec l’arrivée des ports parallèles bidirectionnels, le driver peut informer précisément sur les problèmes d’impression (manque de papier ou d’encre, bourrage,…).
=>Schéma général d’impression en réseau.
Sur NT, on installe le driver sur le serveur d’impression afin qu’il soit automatiquement téléchargé au client à la première utilisation.
=>Schéma détaillé du fonctionnement des impressions.
1- Association d’un driver à un port local ou à une file d’attente réseau.
1-1- Pour une impression réseau sous Windows 3.1 (ou pour une application DOS sous Windows 98), il faut associer explicitement le port local du driver à la file d’attente réseau.
1-2- Pour une impression réseau sous Windows 98, on associe directement le driver à la file d’attente réseau.
2- La file d’attente réseau est rattachée à une imprimante réseau elle-même définie comme un port d’un serveur d’impression.
Chaque imprimante doit avoir un driver adapté au matériel. De plus, ce driver peut exister en différentes versions en fonction des systèmes d’Exploitation (versions pour Windows 98, NT 4.0,…), mais aussi en fonction des évolutions (correction des bugs, optimisation,…).
Le driver est fourni avec le système ou avec le périphérique. Le driver doit être installé et être sélectionné au moment de l’impression. Quand on ne possède pas de driver spécifique à l’imprimante, on essaye un modèle similaire.
DIFFERENTS TYPES DE DRIVERS D’IMPRIMANTES
Certains drivers sont de simples tables de correspondance des codes, d’autres sont pilotés avec un véritable langage de description de pages (PDL = Page Description Language) définissant l’impression par traduction du fichier à imprimer en une suite de commandes comprises par le périphérique.
Pour les imprimantes modernes, on distingue plusieurs technologies de drivers :
1- Simples séquences d’Escape des imprimantes matricielles à aiguilles.
2- PCL 6 (Printer Command Language) d’HP : utilisé essentiellement pour la bureautique (rapidité d’impression).
3- PostScript d’Adobe : véritable langage de programmation utilisé surtout pour la PAO (portabilité des fichiers d’impression pour les imprimeurs).
4- GDI (Graphic Device interface) : impression directe dans le langage GDI de l’interface graphique de Windows (utilise le processeur et la RAM de l’ordinateur pour l’impression).
5- WPS (Windows Printing System) : technologie de Microsoft concurrente de GDI et utilisant les mêmes polices à l’écran et à l’impression (le texte est envoyé directement à l’imprimante sans traduction préalable en bitmap).
IMPRESSION SOUS WINDOWS 98
L’application gère le document, sa mise en page et les options d’impression.
Drivers généraux dédiés aux imprimantes PostScript ou autres.
Le spooling EMF (Enhanced MetaFile) permet de rendre le contrôle plus vite à l’application.
Le format EMF correspond au langage graphique GDI interne de Windows 98. Un méta-fichier est un ensemble de commandes internes que Windows 98 utilise pour créer une image.
Driver dédié à une imprimante spécifique (stocké dans \Windows\System\).
RAW (brut) désigne le format en langage natif de l’imprimante (PCL, PostScript, séquences d’Escape,…).
Stockage sous forme de fichier dans \Windows\Spool\Printers.
INSTALLATION DE DRIVER D’IMPRIMANTE SOUS WINDOWS 98
=>Solution 1 : Installation par l’assistant de Windows 98.
- Icône Imprimante du Panneau de Configuration – Icône Ajout d’imprimante.
- Choisir locale ou réseau, puis un port local (LPT ou COM) ou file d’attente réseau.
On peut remarquer qu’avec Windows 98 il est inutile d’associer une imprimante réseau à un port local avant de la relier à une file d’attente. Par contre, les applications MS-DOS requièrent toujours l’association d’une imprimante réseau à un port.
- Choisir le driver d’imprimante.
^>Solution 1 bis : Si l’imprimante est Plug & Play, il suffit théoriquement de la brancher et d’allumer l’ordinateur, ce qui a pour effet de lancer l’assistant d’installation.
=>Solution 1 ter : Il est aussi possible de sélectionner la file d’attente dans le Voisinage réseau et de la faire glisser dans le dossier Imprimantes. Windows 98 lance alors automatiquement l’assistant d’installation.
=>Solution 2 : Programme d’installation fourni avec l’imprimante (en général, « Install.exe » ou « Setup.exe »).
- Lancer le programme d’installation de l’imprimante qui installe automatiquement l’icône de l’imprimante dans la boîte Imprimante du Panneau de Configuration.
- Redémarrer Windows 98.
- Icône Imprimante du Panneau de configuration – Icône de l’imprimante installée pour laquelle on souhaite effectuer une connexion à une file d’attente d’impression.
- Menu Imprimante – commande Propriétés – Onglet Détails – bouton Ajouter un port – choisir un port local ou une file d’attente d’impression, puis OK.
CONFIGURATION DU DRIVER SOUS WINDOWS 98
=>Paramétrage de la capture d’impression en réseau.
Menu Démarrer – commande Paramètres – commande Imprimantes– icône de l’imprimante installée – Propriétés – onglet Paramètres de la capture (enlever bannière et saut de page).
Ces paramètres sont également accessibles par le Panneau de configuration, l’Explorateur ou le Poste de travail.

Il est possible de modifier la configuration de la capture par défaut à l’aide de la feuille de propriétés du Client réseau 32 de Novell.
=>Paramétrage du support et de la qualité d’impression : par exemple …


=>Paramétrage d’options diverses : par exemple …

SUIVI DES IMPRESSIONS SOUS WINDOWS 98
Windows 98 offre son propre gestionnaire de files d’attente d’impressions qui est en relation directe avec celui de Netware. Ainsi, toute suppression d’une impression dans l’un ou l’autre de ces deux utilitaires se répercute sur le second.

Exercices : CONFIGURATION D’UNE IMPRIMANTE PAR DRIVER
UTILISATION D’UNE IMPRIMANTE SOUS WINDOWS 98
- Visualiser les différents drivers d’imprimantes installés.
- Quelle est l’imprimante utilisée par défaut ? Comment la changer ?
- Imprimer directement un document en le faisant glisser de l’Explorateur vers l’imprimante. Si l’extension du fichier est liée à une application, cette dernière est lancée automatiquement afin de prendre en compte l’impression.
- Imprimer plusieurs documents en une seule manipulation : d’abord en se servant de la méthode précédente, puis en utilisant la commande « Fichier – Ouvrir » de Word et en sélectionnant un ensemble de fichiers qu’on demande d’imprimer.
- Imprimer une recopie d’écran : d’abord de tout l’écran, puis seulement d’une fenêtre, et enfin d’une seule icône.
INSTALLATION D’IMPRIMANTE
- Installer une imprimante locale et sortir une page de test.
- Supprimer un driver d’imprimante réseau, puis le réinstaller.
- Passer en revue les différents éléments de configuration de cette imprimante (se servir de l’aide pour comprendre la signification de ces paramètres). Vérifier l’association des imprimantes installées à des ports locaux ou à des files d’attente d’impression réseau.
- Demander à un enseignant de montrer le changement du toner et le chargement du papier sur une imprimante laser (exercice facultatif).
- Utiliser le dépanneur de problèmes d’impression de Windows 98.
GESTION DES FILES D’ATTENTE D’IMPRESSION
- Que représente physiquement le fait de dire qu’un document est en file d’attente d’impression ?
- Gestion de file d’attente sous Windows :
• Choisir une imprimante installée et suspendre les impressions.
• Lancer plusieurs impressions sur cette la file d’attente.
• Modification de l’ordre des fichiers dans le spool.
• Réactiver l’impression afin d’imprimer un seul document.
• Purger la file d’attente des autres documents.
- Effectuer les mêmes opérations que précédemment, mais avec le gestionnaire d’impression de Netware (PConsole). Il est conseillé de faire apparaître sur le même écran :
• L’application servant à lancer les impression (par exemple, Word).
• Le gestionnaire d’impression de Windows.
• Le Gestionnaire d’impression de Netware.
EXERCICES DE SYNTHESES (facultatifs)
CHOIX D’UNE IMPRIMANTE
- Avant de choisir le type d’imprimante à acheter, il convient de se poser un certains nombre de questions :
=>Budgets d’investissement et de fonctionnement (prix de revient à la page) ? Le coût de fonctionnement est directement lié à l’utilisation des consommables. Cependant, la consommation est difficile à estimer, car elle dépend de plusieurs critères tels que la durée de vie des consommables, la qualité demandée et le taux de remplissage de la page.
=>Volume d’édition (et donc quelle est la vitesse acceptable) ?
=>Type d’impression (et donc résolution nécessaire) : listing, multicopies, bureautique, PAO, couleur, format (A4, A3,…),… ?
=>Contraintes organisationnelles : impression silencieuse, environnement hostile, imprimante individuelle, partagée par quelques postes, réseau, portable,… ?
Remplir le tableau suivant afin de se constituer un outils de décision pour le choix d’un type d’imprimante :
|
jet d’encre |
laser |
|
|
Coût d’achat en Francs |
||
|
Coût de fonctionnement en Frans/page (lié au prix des consommables) |
||
|
Consommables à utiliser (en plus du papier) |
||
|
Vitesse en ppm |
||
|
Gros volumes (répondre « Oui » ou « Non »). |
||
|
Type d’impression (répondre Oui ou Non) : – listing – multicopies – texte de qualité – graphique de qualité – PAO – couleur |
||
|
Résolution en ppp |
||
|
Contraintes d’organisation (répondre Oui ou Non) : – impr. Silencieuse – environnement hostile (poussières, vibrations, humidité) |
- Une fois le choix de l’imprimante effectué, quels sont les derniers éléments à vérifier et négocier ?
→
→
→
ETUDES DE CAS DE CHOIX D’IMPRIMANTE
- Quelle imprimante choisir pour une utilisation individuelle de travaux bureautiques (quelques dizaines de pages par mois) ?
- Quelle imprimante choisir pour une application nécessitant des travaux lourds d’impression de préimprimés en plusieurs exemplaires (bons de livraisons, factures, bulletins de paie,…) ? Le fait qu’il s’agisse d’un renouvellement de matériel ou d’un premier achat modifie-t-il ce choix ?
- Quelle imprimante choisir pour l’impression de documents pour un petit groupe de travail d’une dizaine de personnes nécessitant rapidité, qualité et économie ? Le fait qu’on effectue des travaux bureautiques ou PAO modifie-t-il ce choix ? Et que l’on possède un PC ou un Macintosh ? Et qu’on souhaite du noir & blanc ou de la couleur ?
- Quelle imprimante choisir pour l’impression de documents pour un grand groupe de travail (plus de 20 personnes) nécessitant rapidité, qualité et économie ?
- Quelle imprimante choisir pour l’impression de documents de présentation et de transparents couleurs réalisés avec Powerpoint (une centaine de pages par mois) ?
SOLUTIONS D’IMPRESSION
- Quels sont les différents éléments pouvant influencer la vitesse d’impression ?
→
→
→
→
→
→
- Citer 3 méthodes différentes permettant d’obtenir par informatique des adresses imprimées sur le courrier. Préciser les avantages et les inconvénients de chacune de ces méthodes.
→
→
→
- Lister les différentes solutions afin de connecter plusieurs postes à une même imprimante.
→
→
→
- Lister les différentes solutions afin de connecter plusieurs imprimantes à un même poste.
→
→
→
→
EXERCICE DE CULTURE GENERALE : Définir les termes suivants …
Arial :
Bande Caroll :
Centronics :
COM2 :
Consommable :
Corps d’une police :
Courbes de Bézier :
CPI :
DPI :
Driver :
ECP :
EPP :
File d’attente :
Form Feed !
GDI :
Hard copy :
Impression paysage :
Interface série :
Jeu de caractères :
LPT1 :
PCL :
Poids d’une police :
Police bitmap :
Police de caractères :
Police vectorielle :
Port parallèle :
PostScript :
PPM :
PPP :
RS232C :
Séquence d’escapes :
Serif :
Spool :
Switches :
Times :
True Type :
Type1 :
USB :
XON/XOFF :
TRAVAIL A RENDRE
- Comment mettre en condensé l’imprimante Epson LX800 ?
- Que représente physiquement le fait de dire qu’un document est en file d’attente d’impression ?
- Quel est l’effet de la touche « Print Screen » sous Windows ?
- Qu’est-ce qu’une imprimante multi-fonctions dite « tout en un » ?
- Solutions pour connecter plusieurs postes à une même imprimante.
→
→
→
- Solutions pour connecter plusieurs imprimantes à un même poste.
→
→
→
Annexes
- Unités de l’impression
- Supports d’impression
- Jeux de caractères
- Séquences d’Escape
- Langage PCL
- Dossier sur les imprimantes(article de presse : Info PC – mai 1999 – page 74)
ANNEXE : unités de l’impression
VITESSE
|
CPS |
Caractères Par Seconde |
|
LPM |
Lignes Par Minute |
|
PPM |
Pages Par Minute (1 PPM = 66 CPS, il faut compter 4000 caractères par page) |
RESOLUTION : nombre de points imprimables sur une surface donnée
|
Equivalences d’unités |
||
|
1 pouce (inch) |
2,54 cm |
72 points |
|
1 cm |
0,3937 pouces |
28,34 points |
|
1 point |
0,035277 cm |
0,01388 pouces |
| PPP (Point Par Pouce) = DPI (Dots Per Inch) : « 300 ppp » signifie que chaque pouce carré contient 300 points horizontalement et verticalement, soit un total de 90 000 points. | |
| Imprimante matricielle | résolution maximale de 360 ppp (24 aiguilles) |
| Imprimante laser | résolution de 300 ppp à 1200 ppp (600 ppp en général) |
| Imprimante jet d’encre | résolution de 300 à 720 ppp (et bientôt 1200 ppp) |
| Photocomposeuse | résolution de 1270 à 2540 ppp |
Moniteur VGA |
résolution de 96 ppp |
La tendance actuelle est à 600 ppp (surtout pour les graphiques). Cependant, à l’œil il est difficile de faire la différence entre du texte imprimé à 300 ppp et à 600 ppp, car les fonctions de lissage atténuent l’effet d’escalier. De plus, l’impression haute résolution (600 ppp au lieu de 300 ppp) consomme plus d’encre et de mémoire.
|
300 ppp |
Impression de texte et de graphiques simples. |
|
600ppp |
Documents finaux ou comportant des graphiques détaillés et des images en niveaux gris. |
|
Pitch : unité de mesure des fontes à largeur fixe, calculée en CPI (Character Per Inch). |
|
|
10 pitch |
12 points |
|
12 pitch |
10 points |
|
15 pitch |
8 points, etc. |
PAGE D’IMPRESSION
|
Le nombre de caractères par ligne (écriture normale ou condensée) peut être modifié en choisissant le nombre de « Caractères Par Inch » (CPI) appelé « pas d’avance » |
||
|
10 CPI |
PICA (du nom de la police) |
82 caractères/ligne : gros caractères |
|
12 CPI |
ELITE (du nom de la police) |
99 caractères/ligne : petits caractères |
|
15 CPI |
124 caractères par ligne |
|
|
17 CPI |
MICRON ou condensé |
132 caractères par ligne |
|
Nombre de lignes par pouce (espacement vertical ou hauteur de l’interligne) : la hauteur d’un caractère est de 0,1 pouce (2,54 mm). |
|
|
6 LPI |
70 lignes/page A4 |
|
8 LPI |
93 lignes/page A4 |
|
Longueur de page |
|
|
11″ |
66 lignes/page |
|
A4 (11,69″) |
70 lignes/page |
|
12″ |
72 lignes/page |
ANNEXE : supports d’impression
feuilles séparées (peut nécessiter l’utilisation d’un introducteur de feuille à feuille)
A0 = 84.1 x 118.9 cm
A3 = 29.7 x 42 cm
A4 = 21 x 29.7 cm (standard français)
A5 = 14.8 x 21 cm
B0 = 100 x 141.4 cm
B4 = 25 x 35.3 cm
B5 = 18.2 x 25.7 cm
US légal = 21.59 x 35.56 cm (= 8,5 x 14 pouces USA)
US letter = 21.59 x 27.94 cm
Le format A4 (8,27″x11,69″) permet d’imprimer 70 lignes et 80 colonnes (63 lignes/page compte tenu des marges incompressibles en feuille à feuille).
papier en continu (« listing ») : papier plié en accordéon avec des bandes perforées latérales (« bandes Caroll ») permettant l’entraînement du papier par picots
Hauteur de page au format US (mais il existe d’autres formats) :
|
lettre américaine |
11″ |
27,94 cm |
permet d’imprimer 66 lignes/page en 6 lignes/pouce |
|
continu international |
12″ |
30,48 cm |
permet d’imprimer 72 lignes/page en 6 lignes/pouce |
La notation 11″ signifie 11 pouces.
Largeur de page :
|
étroit |
80 colonnes |
24 cm (21 cm sans les bandes Caroll) |
de 132 à 136 colonnes en condensé |
|
large |
132 colonnes |
38 cm (35 cm sans les bandes Caroll) |
de 232 à 272 colonnes en condensé |
Variantes de papier : • bandes Caroll détachables ou non
• zoné ou non
• recyclé ou non
• plusieurs exemplaires autocopiants
• pré-imprimés (facture, traite,…)
• épaisseur (grammage)















